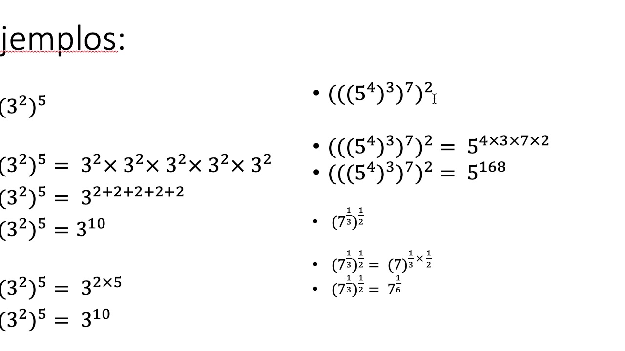
Fórmulas para calcular la potencia. Existen diversas fórmulas para calcular la potencia. La más común es la multiplicación repetida de la base. Por ejemplo, para calcular 2^3, simplemente multiplicamos 2 por sà mismo tres veces: 2^3 = 2 2 2 = 8. Otra fórmula útil es la regla de la potencia cero, que establece que cualquier número.. Profesor de Matemática y FÃsica. Las leyes de los exponentes y radicales establecen una forma simplificada o resumida de trabajar una serie de operaciones numéricas con potencias, las cuales siguen un conjunto de reglas matemáticas. Por su parte, se denomina potencia a la expresión a n, (a) representa el número base y (n o enésima) es el.

Para estudiar Mates Propiedades de las potencias

Qué es la potenciación YouTube

Matemáticas Minillera Continuando con las potencias y sus propiedades

Reglas de la potencias de los numeros reales x fa Brainly.lat

Propiedades de las potencias, potencia de un número YouTube

Propiedades de las potencias en los numero naturales YouTube

Leyes de exponentes Regla de la potencia (Ejercicios) YouTube

Potencia de una Potencia. Potencias de números enteros YouTube

Regla De Las Potencias O Exponentes biru

Regla De La Potencia Ejemplos escuela

Propiedades de la Potenciación YouTube

POTENCIACIÓN Introducción, Propiedades y Ejemplos. YouTube

¿Qué es la potenciación? YouTube
Arriba la matematica POTENCIACIÓN, EXPLICACIÓN Y EJERCICIOS
Arriba la matematica POTENCIACIÓN, EXPLICACIÓN Y EJERCICIOS

35. Repaso de potencias (Parte 1) exponentes positivos y negativos YouTube

Propiedades de la potenciación Mates Fáciles

propiedad potenciacion Propiedades matemáticas, Potencias matematicas, Matematicas

Nivelaciones matematicas UNAD Regla de potencias YouTube

Potenciación
Hola gente, les presento la primera lección del tema de teorÃa de exponentes de mi curso de álgebra elemental; esta lección está diseñado de tal manera que fundamente cada concepto de la potenciación y sus propiedades principales.. Para definir la potenciación, se establecen 3 elementos principales que la conforman, esto son, la base, el exponente y la potencia, donde el exponente se.. ¿Qué son las leyes de los exponentes? Las leyes de los exponentes son las que se aplican a aquel número que indica cuántas veces debe ser multiplicado por sà mismo un número base. Los exponentes también son conocidos como potencias. La potenciación es una operación matemática formada por una base (a), el exponente (m) y la potencia (b), que es el resultado de la operación.
.